|
Menu
×
×
Correct!
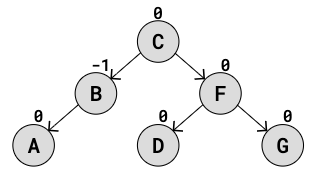
Exercise:Each node in the AVL Tree below is displayed together with its balance factor:
What is the balance factor?
The balance factor is the
difference between each node's
left and right subtree @(7).
The balance factor is the
difference between each node's
left and right subtree heights.
The balance factor is the
difference between each node's
left and right subtree height.
Not CorrectClick here to try again. Correct!Next ❯ |
This will reset the score of ALL 43 exercises.
Are you sure you want to continue?